Разбираемся, насколько эффективно работает система отопления в многоквартирных домах Новоуральска.
По многочисленным просьбам горожан, «Нейва» начинает ряд публикаций, посвященных методу анализа эффективности работы системы отопления многоквартирного дома (точнее индивидуального теплового пункта — ИТП). Использование этого метода (последовательности действий) позволяет:
▶ оценить, насколько эффективно работает система отопления в многоквартирном доме (МКД), то есть насколько потребление тепловой энергии соответствует проектным значениям, заданным при проектировании дома и сдаче его в эксплуатацию;
▶ сравнить между собой любые периоды работы системы отопления, например, отдельные месяцы или годы;
▶ проверить правильность перерасчётов за отопление;
▶ понять, как работает калькулятор гигакалорий, размещенный на сайте upravdom44.ru, и как его правильно использовать.
После того, как будет последовательно, в нескольких частях изложен весь метод, разберем несколько примеров на конкретных МКД нашего города.
Постараемся последовательно изложить метод максимально простым языком, чтобы все читатели, даже не имеющие специального технического образования, смогли его понять и использовать.
1. Линейный закон
В теплофизике известен закон Фурье — тепловой поток обратно пропорционален разнице температур. Коэффициент пропорциональности является коэффициентом теплопроводности среды, через которую проходит поток.
Когда мы говорим об отоплении многоквартирного дома, внутри которого температура поддерживается всегда примерно одинаковой, формула Фурье упрощается — потери тепла через стены дома становятся пропорциональны температуре наружного воздуха.
На рисунках 1 и 2 приведены зависимости суточного потребления тепла двух МКД по ул. Чурина, 9 и по ул. Свердлова, 16 от средней суточной температуры наружного воздуха (Тнв).
Как видно из рисунков, с точностью 90% (R2) распределение значений описывается линейными зависимостями в диапазоне от +5 до -30 градусов. Что происходит при более высоких температурах и как эти данные правильно анализировать, мы разберем позднее. Коэффициенты в уравнениях 0,123 и 0,101 характеризуют общую теплопроводность данных домов.


При температуре -25 оС фактическое суточное потребление МКД по ул. Чурина, 9 в указанные периоды составляло около 6 Гкал, а МКД по ул. Свердлова, 16 — около 5 Гкал. Хотя площади домов отличаются в 2 раза. Причинами этого являются как конструктивные особенности домов, так и настройка системы отопления МКД, которая без надлежащего обслуживания может существенно отличаться от проектных значений в большую сторону.
Разброс значений суточного потребления тепловой энергии относительно линейной зависимости связан с инерционностью установления теплового равновесия в таком большом тепловом объекте, как МКД, а также со скоростью изменения температуры подаваемого теплоносителя на ТЭЦ после изменения температуры наружного воздуха.
2. Как посчитать калории
Каждая точка на представленных рисунках - это среднее суточное потребление тепловой энергии домом. Как его посчитать?
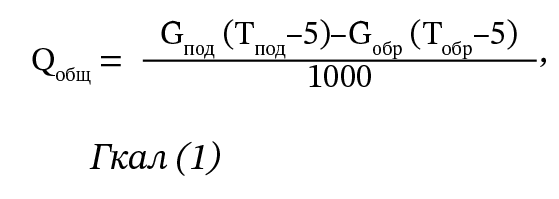
В дом подается поток нагретой на ТЭЦ воды со средними суточными параметрами расхода и температуры (Gпод, Тпод), которая используется и для отопления, и для ГВС (поскольку в нашем городе - система открытого типа). Нагревая наши батареи и полотенцесушители, вода остывает, а также частично расходуется на ГВС. Поэтому из дома уже обратно выходит поток воды с меньшим расходом и меньшей температуры (Gобр, Тобр). Тогда общее количество тепловой энергии, которое осталось в доме за сутки, равно:

В данном выражении Gпод и Gобр измеряются в тоннах в сутки, а Тпод и Тобр - это среднесуточная температура воды в потоках в градусах Цельсия (°С). Деление на 1000 в знаменателе обусловлено тем, что 1 калория - это количество тепла, необходимое для нагрева 1 грамма воды на 1 °С. Так расходы воды стоят в тоннах (106 грамм), а приставка перед калориями «гига» равна 109, то необходимо поделить на 103, чтобы привести к одному масштабу. Значение 5, вычитаемое из температуры воды, примерно равно средней начальной температуре теплоносителя (в озере).
Дальнейший шаг - это определить, сколько тепла израсходовано с потребленной жителями горячей водой:

Однако на практике для расчета тепла, потребленного на ГВС, используется более простая формула с коэффициентом:

Коэффициент a — это нормативы, установленные постановлением Региональной энергетической комиссии Свердловской области от 22.11.2017 № 123-ПК, и равны количеству Гкал на 1 куб. м ГВС: для МКД с полотенцесушителями — 0,06506, а без них — 0,05876.
Для многих МКД я проводил расчет тепловой энергии на ГВС и по формуле 2, и по формуле 3, значения получаются очень близкие.
Количество тепла, израсходованное на отопление, составит:

3. Пример расчёта
В каждом ИТП есть специальное устройство - вычислитель, в котором собираются и хранятся (не менее 1 года) среднесуточные данные с приборов (датчиков) расходов, температур и давлений подающего и обратного трубопроводов отопления. В дальнейшем эти данные попадают в суточные ведомости отопления (отчеты потребления ГВС и тепла), которые уже оформляются на бумаге и подписываются специалистами управляющей, а с 2021 года и ресурсоснабжающей компаний. Один такой отчет оформляется для каждого месяца, который начинается с 23 числа предыдущего месяца и заканчивается 22-м числом следующего.
На рисунке 3 в качестве примера приведен отчет за октябрь 2017 года МКД по ул. Комсомольской, 16а, который содержит среднесуточные показания расходов и температур для каждого из двух ИТП в этом МКД. В одном МКД в зависимости от его размеров количество ИТП может быть более одного, например, в МКД по ул. Советской, 18 работают 8 ИТП.
Отчет также содержит суммарные месячные расходы и среднемесячные температуры в подающем и обратном трубопроводах, а также расчет общего количества потребленного тепла (на отопление и ГВС) за каждые сутки и за месяц.

Давайте потренируемся в расчетах. Для ИТП1 общее потребление тепла на ГВС и отопление за 23.10.2017 по формуле 1 составит:

Потребление тепла на ГВС по формуле 3 (в этом доме есть полотенцесушители):

Соответственно, потребление тепловой энергии на отопление за 23.10.2017 для ИТП1 по формуле 4 составило: 3,28-0,48 = 2,8 Гкал.
Чтобы понять, много это или мало, необходимо сравнить данное фактическое значение с проектным значением потребления тепловой энергии. Как это сделать, рассмотрим в следующий раз.
В целом формулы 1-4 можно использовать для расчетов как среднесуточного потребления тепла, так и среднемесячного.
Уважаемые читатели, все публикации в газете «Нейва» по данной теме, а также вспомогательные материалы и дополнительные пояснения будут размещаться в папке по адресу: https://cloud.mail.ru/public/o2NL/2Hg9yhZFv
Все публикации:
2. Как проверить систему отопления вашего дома: разбираемся с Олегом Елистратовым. Часть 2
3. Как проверить систему отопления вашего дома: разбираемся с Олегом Елистратовым. Часть 3
Олег ЕЛИСТРАТОВ, кандидат технических наук, председатель комиссии Думы НГО по вопросам муниципальной собственности и ЖКХ



